Global Firms, Local Students

Multinational Presence Shapes College Major Choice

Jose Rojas-Fallas

University of Oregon

Growth of FDI in LMICs

Lower- and Middle-Income Countries (LMICs) have seen an increasing rate of fdi inflow in recent decades

Source: World Bank

Tertiary Enrollment Growth in LMICs

Tertiary enrollment rates have increased in LMICs

Source: World Bank

Research Question

Hypothesis: Multinational Firms affect skill specialization decisions

  • I use administrative data of university applications and location of MNCs within industrial parks in Costa Rica from 2010 to 2019


Identification Strategy

  • Spatial and temporal variation in industry composition
  • Distance between students and MNCs
  • Key Variable: Exposure to near MNCs

Preview of Results

  • A shift from low to high exposure to Manufacturing MNCs increases the probability of choosing a major within Stem and Applied Sciences by 52.9 p.p.
    • Decreases probability of choosing Arts by 25 p.p. and Social Sciences by 27.9 p.p.
  • A shift from low to high exposure to Administrative Service MNCs increases the probability of choosing a major within Social Sciences and Professional Studies by 39.81 p.p.
    • Decreases the probability of choosing Arts by 30.58 p.p. and STEM and Applied Sciences by 8.96 p.p.
  • Directional effects are robust to removing the industry-field mapping
  • Multinational Firm effects are extremely local
  • Heterogeneity tests show no difference between men and women

Preview of Results

  • A shift from low to high exposure to Manufacturing MNCs increases the probability of choosing a major within Stem and Applied Sciences by 52.9 p.p.
    • Decreases probability of choosing Arts by 25 p.p. and Social Sciences by 27.9 p.p.
  • A shift from low to high exposure to Administrative Service MNCs increases the probability of choosing a major within Social Sciences and Professional Studies by 39.81 p.p.
    • Decreases the probability of choosing Arts by 30.58 p.p. and STEM and Applied Sciences by 8.96 p.p.
  • Directional effects are robust to removing the industry-field mapping
  • Multinational Firm effects are extremely local
  • Heterogeneity tests show no difference between men and women

Preview of Results

  • A shift from low to high exposure to Manufacturing MNCs increases the probability of choosing a major within Stem and Applied Sciences by 52.9 p.p.
    • Decreases probability of choosing Arts by 25 p.p. and Social Sciences by 27.9 p.p.
  • A shift from low to high exposure to Administrative Service MNCs increases the probability of choosing a major within Social Sciences and Professional Studies by 39.81 p.p.
    • Decreases the probability of choosing Arts by 30.58 p.p. and STEM and Applied Sciences by 8.96 p.p.
  • Directional effects are robust to removing the industry-field mapping
  • Multinational Firm effects are extremely local
  • Heterogeneity tests show no difference between men and women

Preview of Results

  • A shift from low to high exposure to Manufacturing MNCs increases the probability of choosing a major within Stem and Applied Sciences by 52.9 p.p.
    • Decreases probability of choosing Arts by 25 p.p. and Social Sciences by 27.9 p.p.
  • A shift from low to high exposure to Administrative Service MNCs increases the probability of choosing a major within Social Sciences and Professional Studies by 39.81 p.p.
    • Decreases the probability of choosing Arts by 30.58 p.p. and STEM and Applied Sciences by 8.96 p.p.
  • Directional effects are robust to removing the industry-field mapping
  • Multinational Firm effects are extremely local
  • Heterogeneity tests show no difference between men and women

Contributions

Mechanism of fdi shifting human capital specialization decisions

Determinants of College Major Choice

  • Information availability
  • Wages
    • Carneiro et al. (2011), Arcidiacono et al. (2012), Arcidiacono et al. (2020), Beffy et al. (2012), Carroll et al. (2014), Kirkeboen et al. (2016), Bleemer & Mehta (2022)
  • Non-pecuniary returns
  • Ability and preference sorting
    • Arcidiacono (2004), Kinsler & Pavan (2015)

Contributions

Mechanism of fdi shifting human capital specialization decisions

Determinants of College Major Choice

  • Wages | Non-pecuniary returns | Ability and preference sorting | Information availability

Effects of increased trade/fdi inflow on local labor markets

  • Increase in skilled labor demand
    • Feenstra & Hanson (1997), Javorcik (2015), Alfaro-Ureña et al. (2021), Setzler & Tintelnot (2021)
  • Skill acquisition decisions
    • Blanchard & Willmann (2016)

Context on Costa Rica

Education

  • Public universities require applicants to list their two preferred majors when applying Example

    1. Helps identify demand for major, rather than observing equilibrium enrollment outcomes
    2. Applicants submit demographic information

Multinational Firms

  • Costa Rica incentivizes FDI inflows through dedicated Free Trade Zone (FTZ) regime

    1. Firms locate within multinational dedicated industrial parks
    2. Multiple locations across the country

Context on Costa Rica GAM

Administrative Map

Topographic Map

Data

Major Choice Data

  • Individual applications (n = 230,162)
    • Years: 2010 - 2019
    • Location: 434 Districts Country Central Valley
    • Majors are grouped into broad bins using UNESCO education categories

STEM & Applied Sciences

  • Natural Sciences
  • Engineering
  • Information Technologies
  • Agricultural Sciences
  • Health

Soc. Sci. & Prof. Studies

  • Business Administration
  • Social Sciences
  • Education

Arts, Writing, & Service

  • Arts
  • Humanities
  • Tourism

Data

Multinational Firms

  • Multinational Firms operating under FTZ regime (n = 253)
  • Year of Entry: 2003 - 2019
  • Location: 39 Districts Country Central Valley
  • Six Industries (2-digit ISIC)
  • Administrative and Support Services
  • Information and Communication
  • Manufacturing
  • Wholesale Trade
  • Professional, Scientific and Technical Activities
  • Transportation and Warehousing

Data

Distance

Roughly half of districts have another district within 5 kilometers, and the curve rises steeply at short distances, indicating dense spatial clustering

Student’s Choice Utility

Individuals Utility from Studying in Field of Study (m) is:

\[\begin{equation} U_{idmt} = \beta_{m} \Gamma_{dmjt} + \gamma_{i}X^{'}_{i} + \alpha_{c} + \alpha_{t} + \varepsilon_{idmt} \end{equation}\]

Subscripts

\(i =\) individual, \(\; d =\) district-of-residence, \(\; m =\) field of study, \(\; j =\) industry, \(\; c =\) canton, \(\; t =\) year

  • \(\Gamma_{djt}\): MNC Presence Index
    • \(\beta_{m}\): Percentage Point Change in the Probability of Choosing Field of Study \(m\)
  • \(X_{i}^{'}\): Individual Characteristics Vector
    • age, sex, high school, unemployment rate, entry score
  • \(\alpha_{c}\): Canton Fixed Effect
  • \(\alpha_{t}\): Year Fixed Effect

Multinational Firm Presence Index

\[\begin{align} \Gamma_{dmjt} = p_{mjt} \times \left(\sum_{d'}\sum_{j} \dfrac{\text{Tenure}_{k(j),d't}}{exp(\text{dist}_{dd'})} \right) \end{align}\]

Subscripts

\(d =\) district-of-residence, \(\; d' =\) district-of-operation, \(\; k(j) =\) firm \(\,k \,\) in industry \(\, j\), \(\; t =\) year

  • \(\text{Tenure}_{k(j),d't}\): Tenure of firm captures how long individual has been aware/exposed to presence of MNC

  • \(exp(\text{dist}_{dd'})\): Distance (in km) from student-district to firm-district

  • \(p_{mjt}\): Industry Attachment Probabilities Distribution Details

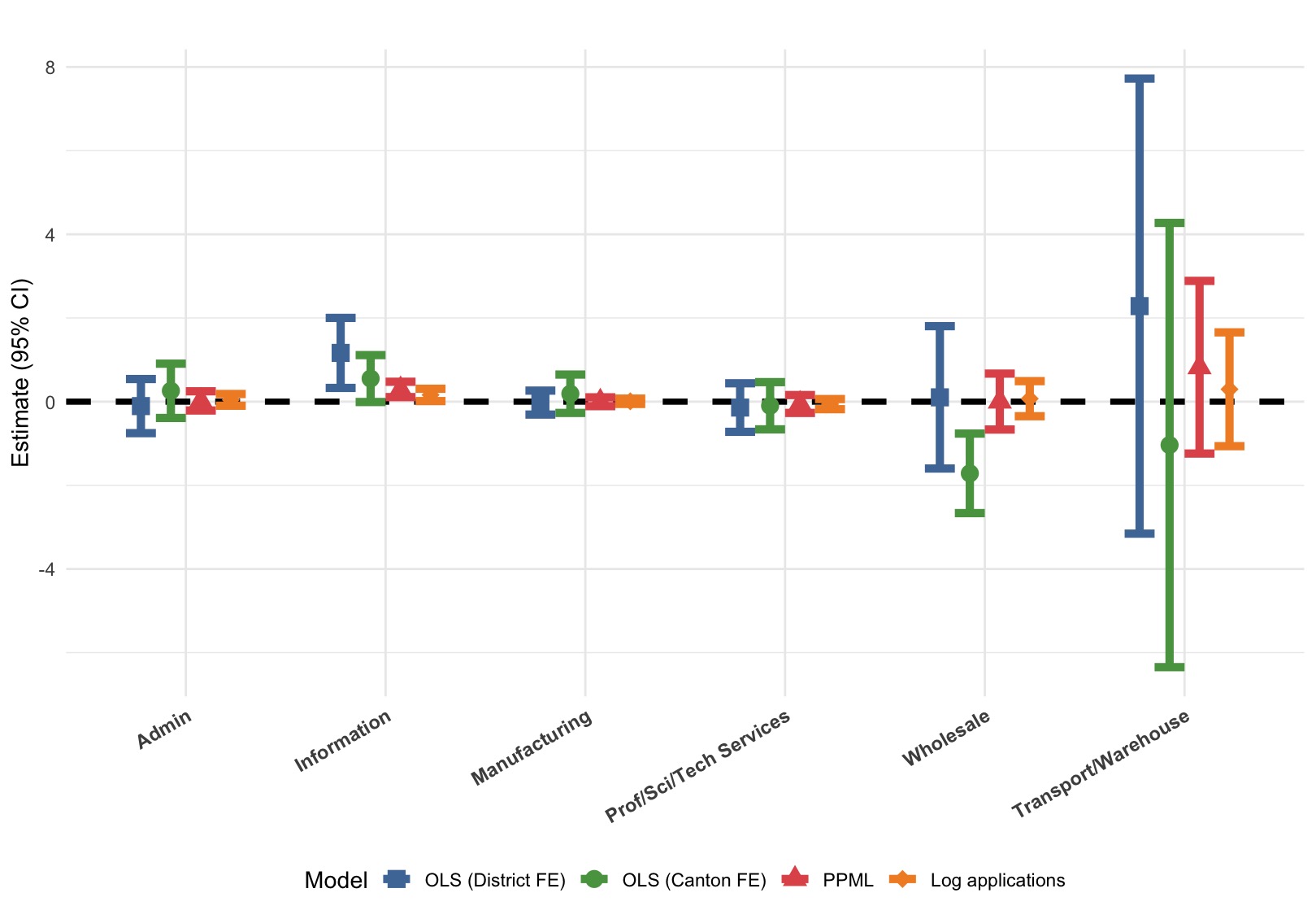
Extensive Margin Effects Table

Regress the count of applications by district on MNC Presence Index

Results suggest there is no extensive margin effect of multinationals on students applying to university

Estimation Method

  • Estimate the effect of MNC presence on student field of study choice by using a Multinomial Logit Model and then estimating the Average Marginal Effects (AMEs) for each industry

  • This produces estimates that tell us how much the probability of choosing a particular major changes when the MNC Presence Index increases by one unit

Interpretation

  • In this model, an increase of one unit in the index is interpreted as an additional firm-year in the student’s district of residence
    • This can be either a new firm entering or an existing firm maturing
  • For greater clarity, I report results by exposure level differences
    • Low \(\rightarrow\) High Exposure
  • I also report the distance decay showing how hyper-local effects are

Manufacturing Industry Results All Industries

STEM Field Increases in Probability by 52.9 p.p. when going from Low to High Presence Index

Administrative Services Industry Results

Social Science and Professional Studies Increases in Probability by 39.81 p.p. when going from Low to High Presence Index

Distance Decay

Multinational firm effects are hyperlocal being concentrated in the 0 to 5 km distance margin

Distance Decay

Multinational firm effects are hyperlocal being concentrated in the 0 to 5 km distance margin

Robustness - Remove Attachment Between Field of Study and Industry

Trends remain similar across industry and field with smaller coefficients

Heterogeneity - Sex

Multinational Firm effects are not significantly different between men and women

Heterogeneity - GAM All Industries

Manufacturing

Administrative Services

Effects are largely concentrated in the Greater Metropolitan Area which aligns with effects being hyperlocal

Conclusion

  • Multinationals reshape local incentives to acquire skills
  • I ask if this influence impacts students choice of major through being exposed to multinationals
  • Using local exposure to multinational firms, I estimate how exposure to MNC activity shapes field of study application decisions
  • Results suggest that students choice of field of study are shifted to those that better align with MNC industry needs
  • This highlights a new channel through which FDI shapes formation of human capital in LMICs

Appendix

Costa Rica FDI Inflows

Costa Rica Tertiary Enrollment

Application Example

GAM

Districts within GAM Size

Student Location (National)

Student Location (Central Valley)

Firm Location (National)

Firm Location (National)

Probability Attachment Weights Statistics

  • Data: Annual American Community Survey (ACS) microdata with person-level survey weights

  • Weighting: Individual observations weighted to recover population-representative counts by field of study and industry of employment

  • Link: Field-of-study shares constructed within industry using weighted counts, aggregated into field of study categories

  • Field to Industry Mapping: Shares reflect the weighted distribution of degree fields among employed individuals within each industry

Probability Attachment Weights Statistics

Extensive Margin Effects

All Industries Results

Distance Decay (0-5 Km)

Percentage Point Changes in Probability of Field Choice

Heterogeneity - GAM

References

Alfaro-Ureña, A., Isabela, M., & Vasquez, J. (2021). The Effects of Multinationals on Workers: Evidence from Costa Rican microdata. Working Paper, No. 285.
Altonji, J. G. (1993). The Demand for and Return to Education When Education Outcomes are Uncertain. Journal of Labor Economics, 11(1).
Arcidiacono, P. (2004). Ability sorting and the returns to college major. Journal of Econometrics, 121(1-2), 343–375. https://doi.org/10.1016/j.jeconom.2003.10.010
Arcidiacono, P., Hotz, V. J., & Kang, S. (2012). Modeling college major choices using elicited measures of expectations and counterfactuals. Journal of Econometrics, 166(1), 3–16. https://doi.org/10.1016/j.jeconom.2011.06.002
Arcidiacono, P., Hotz, V. J., Maurel, A., & Romano, T. (2020). Ex Ante Returns and Occupational Choice. Journal of Political Economy, 128(12), 4475–4522. https://doi.org/10.1086/710559
Beffy, M., Denis, F., & Maurel, A. (2012). Choosing the Field of Study in Postsecondary Education: Do Expected Earnings Matter? The Review of Economic and Statistics, 94(1), 334–347.
Blanchard, E., & Willmann, G. (2016). Trade, education, and the shrinking middle class. Journal of International Economics, 99, 263–278. https://doi.org/10.1016/j.jinteco.2015.10.007
Bleemer, Z., & Mehta, A. (2022). Will Studying Economics Make You Rich? A Regression Discontinuity Analysis of the Returns to College Major. American Economic Journal: Applied Economics, 14(2), 1–22. https://doi.org/10.1257/app.20200447
Carneiro, P., Heckman, J. J., & Vytlacil, E. J. (2011). Estimating Marginal Returns to Education. American Economic Review, 101(6), 2754–2781. https://doi.org/10.1257/aer.101.6.2754
Carroll, T., Assane, D., & Busker, J. (2014). Why it Pays to Major in Economics. The Journal of Economic Education, 45(3), 251–261. https://doi.org/10.1080/00220485.2014.917906
Feenstra, R., & Hanson, G. (1997). Foreign Direct Investment and Relative Wages: Evidence from Mexico’s Maquiladors. Journal of International Economics, 42, 371–393. https://doi.org/10.1016/S0022-1996(96)01475-4
Javorcik, B. S. (2015). Does FDI bring good jobs to host countries? The World Bank Research Observer, 30(1), 74–94.
Jensen, R. (2010). The (Perceived) Returns to Education and the Demand for Schooling. The Quarterly Journal of Economics, 125(2), 515–548.
Kaufmann, K. M. (2014). Understanding the income gradient in college attendance in Mexico: The role of heterogeneity in expected returns: Income gradient in college attendance. Quantitative Economics, 5(3), 583–630. https://doi.org/10.3982/QE259
Kinsler, J., & Pavan, R. (2015). The Specificity of General Human Capital: Evidence from College Major Choice. Journal of Labor Economics, 33(4), 933–972. https://doi.org/10.1086/681206
Kirkeboen, L. J., Leuven, E., & Mogstad, M. (2016). Field of Study, Earnings, and Self-Selection*. The Quarterly Journal of Economics, 131(3), 1057–1111. https://doi.org/10.1093/qje/qjw019
Setzler, B., & Tintelnot, F. (2021). The Effects of Foreign Multinationals on Workers and Firms in the United States. The Quarterly Journal of Economics, 136(3), 1943–1991. https://doi.org/10.1093/qje/qjab015